首页 > 教学资源 > 教程类

2012年高考真题汇编——理科数学:5:三角函数
来源:绥宁一中校园网 作者:吴树恒 更新时间:2012-6-25 阅读:40447次 
ht=21> 的单调递减区间。

【答案】

高考资源网(ks5u.com),中国最大的高考网站,您身边的高考专家。

31.【2012高考真题重庆理18】(本小题满分13分(Ⅰ)小问8分(Ⅱ)小问5分)

高考资源网(ks5u.com),中国最大的高考网站,您身边的高考专家。 \* MERGEFORMAT ,其中高考资源网(ks5u.com),中国最大的高考网站,您身边的高考专家。 \* MERGEFORMAT

(Ⅰ)求函数高考资源网(ks5u.com),中国最大的高考网站,您身边的高考专家。 \* MERGEFORMAT  的值域

(Ⅱ)若高考资源网(ks5u.com),中国最大的高考网站,您身边的高考专家。 \* MERGEFORMAT 在区间高考资源网(ks5u.com),中国最大的高考网站,您身边的高考专家。 \* MERGEFORMAT 上为增函数,求 高考资源网(ks5u.com),中国最大的高考网站,您身边的高考专家。 \* MERGEFORMAT 的最大值.

【答案】

高考资源网(ks5u.com),中国最大的高考网站,您身边的高考专家。高考资源网(ks5u.com),中国最大的高考网站,您身边的高考专家。

32.【2012高考真题浙江理18】(本小题满分14分)在高考资源网(ks5u.com),中国最大的高考网站,您身边的高考专家。 ABC中,内角A,B,C的对边分别为a,b,c.已知cosA=高考资源网(ks5u.com),中国最大的高考网站,您身边的高考专家。 ,sinB=高考资源网(ks5u.com),中国最大的高考网站,您身边的高考专家。 cosC.

(Ⅰ)求tanC的值;

(Ⅱ)若a=高考资源网(ks5u.com),中国最大的高考网站,您身边的高考专家。 ,求高考资源网(ks5u.com),中国最大的高考网站,您身边的高考专家。 ABC的面积.

【答案】本题主要考查三角恒等变换,正弦定理,余弦定理及三角形面积求法等知识点。

高考资源网(ks5u.com),中国最大的高考网站,您身边的高考专家。(Ⅰ)∵cosA=高考资源网(ks5u.com),中国最大的高考网站,您身边的高考专家。 >0,∴sinA=高考资源网(ks5u.com),中国最大的高考网站,您身边的高考专家。

高考资源网(ks5u.com),中国最大的高考网站,您身边的高考专家。 cosC=sinB=sin(A+C)=sinAcosC+sinCcosA

高考资源网(ks5u.com),中国最大的高考网站,您身边的高考专家。 cosC+高考资源网(ks5u.com),中国最大的高考网站,您身边的高考专家。 sinC.

整理得:tanC=高考资源网(ks5u.com),中国最大的高考网站,您身边的高考专家。

(Ⅱ)由图辅助三角形知:sinC=高考资源网(ks5u.com),中国最大的高考网站,您身边的高考专家。

又由正弦定理知:高考资源网(ks5u.com),中国最大的高考网站,您身边的高考专家。

高考资源网(ks5u.com),中国最大的高考网站,您身边的高考专家。 . (1)

对角A运用余弦定理:cosA=高考资源网(ks5u.com),中国最大的高考网站,您身边的高考专家。 . (2)

解(1) (2)得:高考资源网(ks5u.com),中国最大的高考网站,您身边的高考专家。  or  b=高考资源网(ks5u.com),中国最大的高考网站,您身边的高考专家。 (舍去).

高考资源网(ks5u.com),中国最大的高考网站,您身边的高考专家。 ABC的面积为:S=高考资源网(ks5u.com),中国最大的高考网站,您身边的高考专家。

33.【2012高考真题辽宁理17】(本小题满分12分)

   在高考资源网(ks5u.com),中国最大的高考网站,您身边的高考专家。 中,角A、B、C的对边分别为a,b,c。角A,B,C成等差数列。

   (Ⅰ)求高考资源网(ks5u.com),中国最大的高考网站,您身边的高考专家。 的值;

   (Ⅱ)边a,b,c成等比数列,求高考资源网(ks5u.com),中国最大的高考网站,您身边的高考专家。 的值。

【答案】

高考资源网(ks5u.com),中国最大的高考网站,您身边的高考专家。

【点评】本题主要考查三角形的正弦定理、余弦定理、三角形内角和定理及等差、等比数列的定义,考查转化思想和运算求解能力,属于容易题。第二小题既可以利用正弦定理把边的关系转化为角的关系,也可以利用余弦定理得到边之间的关系,再来求最后的结果。

34.【2012高考真题江西理18】(本小题满分12分)

在△ABC中,角A,B,C的对边分别为a,b,c。已知高考资源网(ks5u.com),中国最大的高考网站,您身边的高考专家。高考资源网(ks5u.com),中国最大的高考网站,您身边的高考专家。

(1)求证:高考资源网(ks5u.com),中国最大的高考网站,您身边的高考专家。

(2)若高考资源网(ks5u.com),中国最大的高考网站,您身边的高考专家。 ,求△ABC的面积。

【答案】

高考资源网(ks5u.com),中国最大的高考网站,您身边的高考专家。

高考资源网(ks5u.com),中国最大的高考网站,您身边的高考专家。

【点评】本题考查解三角形,三角形的面积,三角恒等变换、三角和差公式以及正弦定理的应用.高考中,三角解答题一般有两种题型:一、解三角形:主要是运用正余弦定理来求解边长,角度,周长,面积等;二、三角函数的图像与性质:主要是运用和角公式,倍角公式,辅助角公式进行三角恒等变换,求解三角函数的最小正周期,单调区间,最值(值域)等.来年需要注意第二种题型的考查.

35.【2012高考真题全国卷理17】(本小题满分10分)(注意:在试卷上作答无效)

三角形ABC的内角A、B、C的对边分别为a、b、c,已知cos(A-C)+cosB=1,a=2c,求c.

【答案】

高考资源网(ks5u.com),中国最大的高考网站,您身边的高考专家。

36.【2012高考真题天津理15】(本小题满分13分)

已知函数高考资源网(ks5u.com),中国最大的高考网站,您身边的高考专家。

(Ⅰ)求函数高考资源网(ks5u.com),中国最大的高考网站,您身边的高考专家。的最小正周期;

(Ⅱ)求函数高考资源网(ks5u.com),中国最大的高考网站,您身边的高考专家。在区间高考资源网(ks5u.com),中国最大的高考网站,您身边的高考专家。上的最大值和最小值.

【答案】

高考资源网(ks5u.com),中国最大的高考网站,您身边的高考专家。

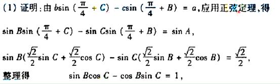
37.【2012高考江苏15】(14分)在高考资源网(ks5u.com),中国最大的高考网站,您身边的高考专家。 中,已知高考资源网(ks5u.com),中国最大的高考网站,您身边的高考专家。

(1)求证:高考资源网(ks5u.com),中国最大的高考网站,您身边的高考专家。

(2)若高考资源网(ks5u.com),中国最大的高考网站,您身边的高考专家。 求A的值.

【答案】解:(1)∵高考资源网(ks5u.com),中国最大的高考网站,您身边的高考专家。 ,∴高考资源网(ks5u.com),中国最大的高考网站,您身边的高考专家。 ,即高考资源网(ks5u.com),中国最大的高考网站,您身边的高考专家。

        由正弦定理,得高考资源网(ks5u.com),中国最大的高考网站,您身边的高考专家。 ,∴高考资源网(ks5u.com),中国最大的高考网站,您身边的高考专家。

           又∵高考资源网(ks5u.com),中国最大的高考网站,您身边的高考专家。 ,∴高考资源网(ks5u.com),中国最大的高考网站,您身边的高考专家。 。∴高考资源网(ks5u.com),中国最大的高考网站,您身边的高考专家。高考资源网(ks5u.com),中国最大的高考网站,您身边的高考专家。

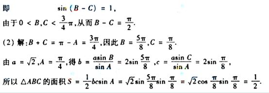
           (2)∵ 高考资源网(ks5u.com),中国最大的高考网站,您身边的高考专家。 ,∴高考资源网(ks5u.com),中国最大的高考网站,您身边的高考专家。 。∴高考资源网(ks5u.com),中国最大的高考网站,您身边的高考专家。

                ∴高考资源网(ks5u.com),中国最大的高考网站,您身边的高考专家。 ,即高考资源网(ks5u.com),中国最大的高考网站,您身边的高考专家。 。∴高考资源网(ks5u.com),中国最大的高考网站,您身边的高考专家。

                由 (1) ,得高考资源网(ks5u.com),中国最大的高考网站,您身边的高考专家。 ,解得高考资源网(ks5u.com),中国最大的高考网站,您身边的高考专家。

                ∵高考资源网(ks5u.com),中国最大的高考网站,您身边的高考专家。 ,∴高考资源网(ks5u.com),中国最大的高考网站,您身边的高考专家。 。∴高考资源网(ks5u.com),中国最大的高考网站,您身边的高考专家。

【考点】平面微量的数量积,三角函数的基本关系式,两角和的正切公式,解三角形。

【解析】(1)先将高考资源网(ks5u.com),中国最大的高考网站,您身边的高考专家。 表示成数量积,再根据正弦定理和同角三角函数关系式证明。

       (2)由高考资源网(ks5u.com),中国最大的高考网站,您身边的高考专家。 可求高考资源网(ks5u.com),中国最大的高考网站,您身边的高考专家。 ,由三角形三角关系,得到高考资源网(ks5u.com),中国最大的高考网站,您身边的高考专家。 ,从而根据两角和的正切公式和(1)的结论即可求得A的值。

2012年高考真题汇编——理科数学:5:三角函数(www.ks5u.com 2012高考).doc