首页 > 教学资源 > 教程类

2012年高考真题汇编——理科数学:15:程序框图
来源:绥宁一中校园网 作者:吴树恒 更新时间:2012-6-25 阅读:40145次 

2012高考真题分类汇编:程序框图

1.【2012高考真题新课标理6】如果执行右边的程序框图,输入正整数高考资源网(ks5u.com),中国最大的高考网站,您身边的高考专家。和实数高考资源网(ks5u.com),中国最大的高考网站,您身边的高考专家。,输出高考资源网(ks5u.com),中国最大的高考网站,您身边的高考专家。 ,则(       )高考资源网(ks5u.com),中国最大的高考网站,您身边的高考专家。

高考资源网(ks5u.com),中国最大的高考网站,您身边的高考专家。高考资源网(ks5u.com),中国最大的高考网站,您身边的高考专家。 高考资源网(ks5u.com),中国最大的高考网站,您身边的高考专家。高考资源网(ks5u.com),中国最大的高考网站,您身边的高考专家。的和

高考资源网(ks5u.com),中国最大的高考网站,您身边的高考专家。 高考资源网(ks5u.com),中国最大的高考网站,您身边的高考专家。高考资源网(ks5u.com),中国最大的高考网站,您身边的高考专家。的算术平均数

高考资源网(ks5u.com),中国最大的高考网站,您身边的高考专家。 高考资源网(ks5u.com),中国最大的高考网站,您身边的高考专家。高考资源网(ks5u.com),中国最大的高考网站,您身边的高考专家。 分别是高考资源网(ks5u.com),中国最大的高考网站,您身边的高考专家。中最大的数和最小的数

高考资源网(ks5u.com),中国最大的高考网站,您身边的高考专家。 高考资源网(ks5u.com),中国最大的高考网站,您身边的高考专家。高考资源网(ks5u.com),中国最大的高考网站,您身边的高考专家。 分别是高考资源网(ks5u.com),中国最大的高考网站,您身边的高考专家。中最小的数和最大的数

【答案】C

 

2.【2012高考真题陕西理10】右图是用模拟方法估计圆周率高考资源网(ks5u.com),中国最大的高考网站,您身边的高考专家。 的程序框图,高考资源网(ks5u.com),中国最大的高考网站,您身边的高考专家。 表示估计结果,则图中空白框内应填入(     )

A. 高考资源网(ks5u.com),中国最大的高考网站,您身边的高考专家。

B. 高考资源网(ks5u.com),中国最大的高考网站,您身边的高考专家。

C. 高考资源网(ks5u.com),中国最大的高考网站,您身边的高考专家。

D. 高考资源网(ks5u.com),中国最大的高考网站,您身边的高考专家。

 

【答案】D.

 

3.【2012高考真题山东理6】执行下面的程序图,如果输入高考资源网(ks5u.com),中国最大的高考网站,您身边的高考专家。 ,那么输出的高考资源网(ks5u.com),中国最大的高考网站,您身边的高考专家。 的值为高考资源网(ks5u.com),中国最大的高考网站,您身边的高考专家。

(A)2            (B)3   

(C)4            (D)5

【答案】B

 

4.【2012高考真题辽宁理9】执行如图所示的程序框图,则输出的S的值是       高考资源网(ks5u.com),中国最大的高考网站,您身边的高考专家。  

(A) 高考资源网(ks5u.com),中国最大的高考网站,您身边的高考专家。 1                           (B) 高考资源网(ks5u.com),中国最大的高考网站,您身边的高考专家。          

(C) 高考资源网(ks5u.com),中国最大的高考网站,您身边的高考专家。                             (D) 4

【答案】D

 【点评】本题主要考查程序框图中的循环结构、数列的周期性以及运算求解能力,

属于中档题。此类题目需要通过计算确定出周期(如果数值较少也可直接算出结果),再根据周期确定最后的结果。

5.【2012高考真题北京理4】执行如图所示的程序框图,输出的S值为(   )

高考资源网(ks5u.com),中国最大的高考网站,您身边的高考专家。

A. 2      B .4       C.8      D. 16

 

【答案】C

6.【2012高考真题安徽理3】如图所示,程序框图(算法流程图)的输出结果是(     )

高考资源网(ks5u.com),中国最大的高考网站,您身边的高考专家。

高考资源网(ks5u.com),中国最大的高考网站,您身边的高考专家。 高考资源网(ks5u.com),中国最大的高考网站,您身边的高考专家。      高考资源网(ks5u.com),中国最大的高考网站,您身边的高考专家。 高考资源网(ks5u.com),中国最大的高考网站,您身边的高考专家。      高考资源网(ks5u.com),中国最大的高考网站,您身边的高考专家。 高考资源网(ks5u.com),中国最大的高考网站,您身边的高考专家。      高考资源网(ks5u.com),中国最大的高考网站,您身边的高考专家。 高考资源网(ks5u.com),中国最大的高考网站,您身边的高考专家。

【答案】B

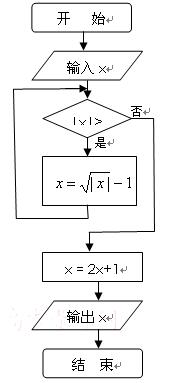
7.【2012高考真题天津理3】阅读右边的程序框图,运行相应的程序,当输入x的值为-25时,输出x的值为

高考资源网(ks5u.com),中国最大的高考网站,您身边的高考专家。

(A)-1                        (B)1

(C)3                         (D)9

【答案】C

8.【2012高考真题湖南理14】如果执行如图3所示的程序框图,输入高考资源网(ks5u.com),中国最大的高考网站,您身边的高考专家。 ,n=3,则输出的数S=     .

高考资源网(ks5u.com),中国最大的高考网站,您身边的高考专家。

【答案】高考资源网(ks5u.com),中国最大的高考网站,您身边的高考专家。

【点评】本题考查算法流程图,要明白循环结构中的内容,一般解法是逐步执行,一步步将执行结果写出,特别是程序框图的执行次数不能出错.

9.【2012高考真题江西理14】下图为某算法的程序框图,则程序运行后输出的结果是______________.

高考资源网(ks5u.com),中国最大的高考网站,您身边的高考专家。

【答案】3

【命题立意】本题考查了程序框图的识别与应用。

10.【2012高考真题浙江理12】若某程序框图如图所示,则该程序运行后输出的值是__________

高考资源网(ks5u.com),中国最大的高考网站,您身边的高考专家。

【答案】高考资源网(ks5u.com),中国最大的高考网站,您身边的高考专家。

11.【2012高考真题湖北理12】阅读如图所示的程序框图,运行相应的程序,输出的结果高考资源网(ks5u.com),中国最大的高考网站,您身边的高考专家。          .

高考资源网(ks5u.com),中国最大的高考网站,您身边的高考专家。

 

【答案】9

12.【2012高考真题广东理13】执行如图所示的程序框图,若输入n的值为8,则输出s的值为       .

高考资源网(ks5u.com),中国最大的高考网站,您身边的高考专家。

 【答案】8

13.【2012高考真题福建理12】阅读右图所示的程序框图,运行相应地程序,输出的s值等于_____________________.高考资源网(ks5u.com),中国最大的高考网站,您身边的高考专家。

【答案】-3.

 

14.【2012高考江苏4】(5分)下图是一个算法流程图,则输出的k的值是  ▲  .

高考资源网(ks5u.com),中国最大的高考网站,您身边的高考专家。

【答案】5。

【考点】程序框图。

2012年高考真题汇编——理科数学:15:程序框图(www.ks5u.com 2012高考).doc