首页 > 教学资源 > 教程类

2012年高考真题汇编——文科数学(解析版)3:导数
来源:绥宁一中校园网 作者:吴树恒 更新时间:2012-6-25 阅读:39378次 
iddle" border=0 alt=高考资源网(ks5u.com),中国最大的高考网站,您身边的高考专家。 src="http://img.snyzedu.com/images/upphoto/201206/20120619132708509.gif" width=32 height=20> 取得最大值高考资源网(ks5u.com),中国最大的高考网站,您身边的高考专家。 .

所以高考资源网(ks5u.com),中国最大的高考网站,您身边的高考专家。 .

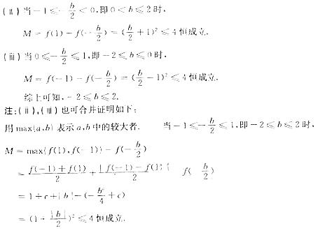
综上,对任意高考资源网(ks5u.com),中国最大的高考网站,您身边的高考专家。高考资源网(ks5u.com),中国最大的高考网站,您身边的高考专家。 .

25.【2012高考陕西文21】 (本小题满分14分)

设函数高考资源网(ks5u.com),中国最大的高考网站,您身边的高考专家。

(1)设高考资源网(ks5u.com),中国最大的高考网站,您身边的高考专家。高考资源网(ks5u.com),中国最大的高考网站,您身边的高考专家。 ,证明:高考资源网(ks5u.com),中国最大的高考网站,您身边的高考专家。 在区间高考资源网(ks5u.com),中国最大的高考网站,您身边的高考专家。 内存在唯一的零点;

(2)设n为偶数,高考资源网(ks5u.com),中国最大的高考网站,您身边的高考专家。高考资源网(ks5u.com),中国最大的高考网站,您身边的高考专家。 ,求b+3c的最小值和最大值;

(3)设高考资源网(ks5u.com),中国最大的高考网站,您身边的高考专家。 ,若对任意高考资源网(ks5u.com),中国最大的高考网站,您身边的高考专家。 高考资源网(ks5u.com),中国最大的高考网站,您身边的高考专家。 ,有高考资源网(ks5u.com),中国最大的高考网站,您身边的高考专家。 ,求高考资源网(ks5u.com),中国最大的高考网站,您身边的高考专家。 的取值范围;

【答案】

高考资源网(ks5u.com),中国最大的高考网站,您身边的高考专家。

高考资源网(ks5u.com),中国最大的高考网站,您身边的高考专家。

高考资源网(ks5u.com),中国最大的高考网站,您身边的高考专家。

高考资源网(ks5u.com),中国最大的高考网站,您身边的高考专家。

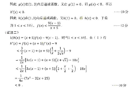
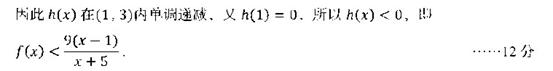
【解析】本题主要考查导数公式,以及利用导数,通过函数的单调性与最值来证明不等式,考查转化思想、推理论证能力、运算能力、应用所学知识解决问题的能力,难度较大。

2012年高考真题汇编——文科数学(解析版)3:导数(www.ks5u.com 2012高考).doc