首页 > 教学资源 > 教程类

2012年高考真题汇编——文科数学(解析版)6:立体几何
来源:绥宁一中校园网 作者:吴树恒 更新时间:2012-6-25 阅读:39573次 
EXT-INDENT: 2em">高考资源网(ks5u.com),中国最大的高考网站,您身边的高考专家。

(Ⅰ)证明高考资源网(ks5u.com),中国最大的高考网站,您身边的高考专家。 ;

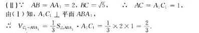
(Ⅱ)已知AB=2,BC=高考资源网(ks5u.com),中国最大的高考网站,您身边的高考专家。 ,求三棱锥高考资源网(ks5u.com),中国最大的高考网站,您身边的高考专家。 的体积

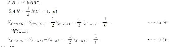
【答案】

高考资源网(ks5u.com),中国最大的高考网站,您身边的高考专家。 高考资源网(ks5u.com),中国最大的高考网站,您身边的高考专家。

高考资源网(ks5u.com),中国最大的高考网站,您身边的高考专家。

39.【2012高考辽宁文18】(本小题满分12分)

如图,直三棱柱高考资源网(ks5u.com),中国最大的高考网站,您身边的高考专家。高考资源网(ks5u.com),中国最大的高考网站,您身边的高考专家。高考资源网(ks5u.com),中国最大的高考网站,您身边的高考专家。 AA′=1,点M,N分别为高考资源网(ks5u.com),中国最大的高考网站,您身边的高考专家。高考资源网(ks5u.com),中国最大的高考网站,您身边的高考专家。 的中点。

   (Ⅰ)证明:高考资源网(ks5u.com),中国最大的高考网站,您身边的高考专家。 ∥平面高考资源网(ks5u.com),中国最大的高考网站,您身边的高考专家。 ;

   (Ⅱ)求三棱锥高考资源网(ks5u.com),中国最大的高考网站,您身边的高考专家。 的体积。

(椎体体积公式V=高考资源网(ks5u.com),中国最大的高考网站,您身边的高考专家。 Sh,其中S为地面面积,h为高)高考资源网(ks5u.com),中国最大的高考网站,您身边的高考专家。

【答案】

高考资源网(ks5u.com),中国最大的高考网站,您身边的高考专家。

高考资源网(ks5u.com),中国最大的高考网站,您身边的高考专家。

高考资源网(ks5u.com),中国最大的高考网站,您身边的高考专家。

【解析】本题以三棱柱为载体主要考查空间中的线面平行的判定、棱锥体积的计算,考查空间想象能力、推理论证能力、运算求解能力,难度适中。第一小题可以通过线线平行来证明线面平行,也可通过面面平行来证明;第二小题求体积根据条件选择合适的底面是关键,也可以采用割补发来球体积。

40.【2012高考江苏16】(14分)如图,在直三棱柱高考资源网(ks5u.com),中国最大的高考网站,您身边的高考专家。 中,高考资源网(ks5u.com),中国最大的高考网站,您身边的高考专家。高考资源网(ks5u.com),中国最大的高考网站,您身边的高考专家。 分别是棱高考资源网(ks5u.com),中国最大的高考网站,您身边的高考专家。 上的点(点高考资源网(ks5u.com),中国最大的高考网站,您身边的高考专家。  不同于点高考资源网(ks5u.com),中国最大的高考网站,您身边的高考专家。 ),且高考资源网(ks5u.com),中国最大的高考网站,您身边的高考专家。高考资源网(ks5u.com),中国最大的高考网站,您身边的高考专家。 的中点.

求证:(1)平面高考资源网(ks5u.com),中国最大的高考网站,您身边的高考专家。 平面高考资源网(ks5u.com),中国最大的高考网站,您身边的高考专家。

        (2)直线高考资源网(ks5u.com),中国最大的高考网站,您身边的高考专家。 平面高考资源网(ks5u.com),中国最大的高考网站,您身边的高考专家。

高考资源网(ks5u.com),中国最大的高考网站,您身边的高考专家。

【答案】证明:(1)∵高考资源网(ks5u.com),中国最大的高考网站,您身边的高考专家。 是直三棱柱,∴高考资源网(ks5u.com),中国最大的高考网站,您身边的高考专家。 平面高考资源网(ks5u.com),中国最大的高考网站,您身边的高考专家。

                  又∵高考资源网(ks5u.com),中国最大的高考网站,您身边的高考专家。 平面高考资源网(ks5u.com),中国最大的高考网站,您身边的高考专家。 ,∴高考资源网(ks5u.com),中国最大的高考网站,您身边的高考专家。

                  又∵高考资源网(ks5u.com),中国最大的高考网站,您身边的高考专家。 平面高考资源网(ks5u.com),中国最大的高考网站,您身边的高考专家。 ,∴高考资源网(ks5u.com),中国最大的高考网站,您身边的高考专家。 平面高考资源网(ks5u.com),中国最大的高考网站,您身边的高考专家。

                  又∵高考资源网(ks5u.com),中国最大的高考网站,您身边的高考专家。 平面高考资源网(ks5u.com),中国最大的高考网站,您身边的高考专家。 ,∴平面高考资源网(ks5u.com),中国最大的高考网站,您身边的高考专家。 平面高考资源网(ks5u.com),中国最大的高考网站,您身边的高考专家。

             (2)∵高考资源网(ks5u.com),中国最大的高考网站,您身边的高考专家。高考资源网(ks5u.com),中国最大的高考网站,您身边的高考专家。高考资源网(ks5u.com),中国最大的高考网站,您身边的高考专家。 的中点,∴高考资源网(ks5u.com),中国最大的高考网站,您身边的高考专家。

                  又∵高考资源网(ks5u.com),中国最大的高考网站,您身边的高考专家。 平面高考资源网(ks5u.com),中国最大的高考网站,您身边的高考专家。 ,且高考资源网(ks5u.com),中国最大的高考网站,您身边的高考专家。 平面高考资源网(ks5u.com),中国最大的高考网站,您身边的高考专家。 ,∴高考资源网(ks5u.com),中国最大的高考网站,您身边的高考专家。

                  又∵高考资源网(ks5u.com),中国最大的高考网站,您身边的高考专家。 平面高考资源网(ks5u.com),中国最大的高考网站,您身边的高考专家。高考资源网(ks5u.com),中国最大的高考网站,您身边的高考专家。 ,∴高考资源网(ks5u.com),中国最大的高考网站,您身边的高考专家。 平面高考资源网(ks5u.com),中国最大的高考网站,您身边的高考专家。

                  由(1)知,高考资源网(ks5u.com),中国最大的高考网站,您身边的高考专家。 平面高考资源网(ks5u.com),中国最大的高考网站,您身边的高考专家。 ,∴高考资源网(ks5u.com),中国最大的高考网站,您身边的高考专家。高考资源网(ks5u.com),中国最大的高考网站,您身边的高考专家。

                  又∵高考资源网(ks5u.com),中国最大的高考网站,您身边的高考专家。 平面高考资源网(ks5u.com),中国最大的高考网站,您身边的高考专家。 平面高考资源网(ks5u.com),中国最大的高考网站,您身边的高考专家。 ,∴直线高考资源网(ks5u.com),中国最大的高考网站,您身边的高考专家。 平面高考资源网(ks5u.com),中国最大的高考网站,您身边的高考专家。

【考点】直线与平面、平面与平面的位置关系。

【解析】(1)要证平面高考资源网(ks5u.com),中国最大的高考网站,您身边的高考专家。 平面高考资源网(ks5u.com),中国最大的高考网站,您身边的高考专家。 ,只要证平面高考资源网(ks5u.com),中国最大的高考网站,您身边的高考专家。 上的高考资源网(ks5u.com),中国最大的高考网站,您身边的高考专家。 平面高考资源网(ks5u.com),中国最大的高考网站,您身边的高考专家。 即可。它可由已知高考资源网(ks5u.com),中国最大的高考网站,您身边的高考专家。 是直三棱柱和高考资源网(ks5u.com),中国最大的高考网站,您身边的高考专家。 证得。

       (2)要证直线高考资源网(ks5u.com),中国最大的高考网站,您身边的高考专家。 平面高考资源网(ks5u.com),中国最大的高考网站,您身边的高考专家。 ,只要证高考资源网(ks5u.com),中国最大的高考网站,您身边的高考专家。 ∥平面高考资源网(ks5u.com),中国最大的高考网站,您身边的高考专家。 上的高考资源网(ks5u.com),中国最大的高考网站,您身边的高考专家。 即可。

41.【2102高考福建文19】(本小题满分12分)

如图,在长方体ABCD-A1B1C1D1中,AB=AD=1,AA1=2,M为棱DD1上的一点。

高考资源网(ks5u.com),中国最大的高考网站,您身边的高考专家。

(1)       求三棱锥A-MCC1的体积;

(2)       当A1M+MC取得最小值时,求证:B1M⊥平面MAC。

高考资源网(ks5u.com),中国最大的高考网站,您身边的高考专家。

42.【2012高考江西文19】(本小题满分12分)

如图,在梯形ABCD中,AB∥CD,E,F是线段AB上的两点,且DE⊥AB,CF⊥AB,AB=12,AD=5,BC=4高考资源网(ks5u.com),中国最大的高考网站,您身边的高考专家。 ,DE=4.现将△ADE,△CFB分别沿DE,CF折起,使A,B两点重合与点G,得到多面体CDEFG.

高考资源网(ks5u.com),中国最大的高考网站,您身边的高考专家。

(1)       求证:平面DEG⊥平面CFG;

(2)       求多面体CDEFG的体积。

 【答案】

 

高考资源网(ks5u.com),中国最大的高考网站,您身边的高考专家。

2012年高考真题汇编——文科数学(解析版)6:立体几何(www.ks5u.com 2012高考).doc