首页 > 教学资源 > 教程类

2012年高考真题汇编——文科数学(解析版)10:概率
来源:绥宁一中校园网 作者:吴树恒 更新时间:2012-6-25 阅读:48624次 

2012高考试题分类汇编:10:概率

一、选择题

1.【2012高考安徽文10】袋中共有6个除了颜色外完全相同的球,其中有1个红球,2个白球和3个黑球,从袋中任取两球,两球颜色为一白一黑的概率等于

(A)高考资源网(ks5u.com),中国最大的高考网站,您身边的高考专家。       (B)高考资源网(ks5u.com),中国最大的高考网站,您身边的高考专家。        (C)高考资源网(ks5u.com),中国最大的高考网站,您身边的高考专家。        (D)高考资源网(ks5u.com),中国最大的高考网站,您身边的高考专家。

 

【答案】B

【解析】1个红球,2个白球和3个黑球记为高考资源网(ks5u.com),中国最大的高考网站,您身边的高考专家。

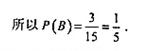
从袋中任取两球共有高考资源网(ks5u.com),中国最大的高考网站,您身边的高考专家。 15种;

满足两球颜色为一白一黑有高考资源网(ks5u.com),中国最大的高考网站,您身边的高考专家。 种,概率等于高考资源网(ks5u.com),中国最大的高考网站,您身边的高考专家。

2.【2012高考辽宁文11】在长为12cm的线段AB上任取一点C. 现作一矩形,邻边长分别等于线段AC,CB的长,则该矩形面积大于20cm2的概率为

:(A) 高考资源网(ks5u.com),中国最大的高考网站,您身边的高考专家。          (B) 高考资源网(ks5u.com),中国最大的高考网站,您身边的高考专家。          (C) 高考资源网(ks5u.com),中国最大的高考网站,您身边的高考专家。           (D) 高考资源网(ks5u.com),中国最大的高考网站,您身边的高考专家。

【答案】C

【解析】设线段AC的长为高考资源网(ks5u.com),中国最大的高考网站,您身边的高考专家。 cm,则线段CB的长为(高考资源网(ks5u.com),中国最大的高考网站,您身边的高考专家。 )cm,那么矩形的面积为高考资源网(ks5u.com),中国最大的高考网站,您身边的高考专家。 cm2

高考资源网(ks5u.com),中国最大的高考网站,您身边的高考专家。 ,解得高考资源网(ks5u.com),中国最大的高考网站,您身边的高考专家。 。又高考资源网(ks5u.com),中国最大的高考网站,您身边的高考专家。 ,所以该矩形面积小于32cm2的概率为高考资源网(ks5u.com),中国最大的高考网站,您身边的高考专家。 ,故选C

【点评】本题主要考查函数模型的应用、不等式的解法、几何概型的计算,以及分析问题的能力,属于中档题。

3.【2012高考湖北文10】如图,在圆心角为直角的扇形OAB中,分别以OA,OB为直径作两个半圆。在扇形OAB内随机取一点,则此点取自阴影部分的概率是

高考资源网(ks5u.com),中国最大的高考网站,您身边的高考专家。

A. 高考资源网(ks5u.com),中国最大的高考网站,您身边的高考专家。     B. 高考资源网(ks5u.com),中国最大的高考网站,您身边的高考专家。.       C.高考资源网(ks5u.com),中国最大的高考网站,您身边的高考专家。      D. 高考资源网(ks5u.com),中国最大的高考网站,您身边的高考专家。

10. 【答案】C

【解析】如图,不妨设扇形的半径为2a,如图,记两块白色区域的面积分别为S1,S2,两块阴影部分的面积分别为S3,S4

高考资源网(ks5u.com),中国最大的高考网站,您身边的高考专家。

则S1+S2+S3+S4=S扇形OAB=高考资源网(ks5u.com),中国最大的高考网站,您身边的高考专家。 ①,

而S1+S3 与S2+S3的和恰好为一个半径为a的圆,即S1+S3 +S2+S3高考资源网(ks5u.com),中国最大的高考网站,您身边的高考专家。 ②.

①-②得S3=S4,由图可知S3=高考资源网(ks5u.com),中国最大的高考网站,您身边的高考专家。 ,所以. 高考资源网(ks5u.com),中国最大的高考网站,您身边的高考专家。 .

由几何概型概率公式可得,此点取自阴影部分的概率

P=高考资源网(ks5u.com),中国最大的高考网站,您身边的高考专家。 .

【点评】本题考查古典概型的应用以及观察推理的能力.本题难在如何求解阴影部分的面积,即如何巧妙地将不规则图形的面积化为规则图形的面积来求解.来年需注意几何概型在实际生活中的应用.

4.【2102高考北京文3】设不等式组高考资源网(ks5u.com),中国最大的高考网站,您身边的高考专家。 ,表示平面区域为D,在区域D内随机取一个点,则此点到坐标原点的距离大于2的概率是

(A)高考资源网(ks5u.com),中国最大的高考网站,您身边的高考专家。  (B)高考资源网(ks5u.com),中国最大的高考网站,您身边的高考专家。   (C)高考资源网(ks5u.com),中国最大的高考网站,您身边的高考专家。  (D)高考资源网(ks5u.com),中国最大的高考网站,您身边的高考专家。

【答案】D

【解析】高考资源网(ks5u.com),中国最大的高考网站,您身边的高考专家。题目中高考资源网(ks5u.com),中国最大的高考网站,您身边的高考专家。 表示的区域如图正方形所示,而动点D可以存在的位置为正方形面积减去四分之一圆的面积部分,因此高考资源网(ks5u.com),中国最大的高考网站,您身边的高考专家。 ,故选D。

二、填空题

5.【2012高考浙江文12】从边长为1的正方形的中心和顶点这五点中,随机(等可能)取两点,则该两点间的距离为高考资源网(ks5u.com),中国最大的高考网站,您身边的高考专家。 的概率是___________。

【答案】高考资源网(ks5u.com),中国最大的高考网站,您身边的高考专家。

 【解析】若使两点间的距离为高考资源网(ks5u.com),中国最大的高考网站,您身边的高考专家。 ,则为对角线一半,选择点必含中心,概率为高考资源网(ks5u.com),中国最大的高考网站,您身边的高考专家。 .

6.【2012高考重庆文15】某艺校在一天的6节课中随机安排语文、数学、外语三门文化课和其它三门艺术课各1节,则在课表上的相邻两节文化课之间至少间隔1节艺术课的概率

为        (用数字作答)。

 【答案】高考资源网(ks5u.com),中国最大的高考网站,您身边的高考专家。

【解析】先排其他三门艺术课有高考资源网(ks5u.com),中国最大的高考网站,您身边的高考专家。 种排法,再把语文、数学、外语三门文化课插入由三门艺术课隔开的四个空中,有高考资源网(ks5u.com),中国最大的高考网站,您身边的高考专家。 种排法,所以所有的排法有高考资源网(ks5u.com),中国最大的高考网站,您身边的高考专家。 。6节课共有高考资源网(ks5u.com),中国最大的高考网站,您身边的高考专家。 种排法。所以相邻两节文化课至少间隔1节艺术课的概率为高考资源网(ks5u.com),中国最大的高考网站,您身边的高考专家。

7.【2012高考上海文11】三位同学参加跳高、跳远、铅球项目的比赛,若每人只选择一个项目,则有且仅有两位同学选择的项目相同的概率是       (结果用最简分数表示)

【答案】高考资源网(ks5u.com),中国最大的高考网站,您身边的高考专家。 .

【解析】三位同学从三个项目选其中两个项目有高考资源网(ks5u.com),中国最大的高考网站,您身边的高考专家。 中,若有且仅有两人选择的项目完成相同,则有高考资源网(ks5u.com),中国最大的高考网站,您身边的高考专家。 ,所以有且仅有两人选择的项目完成相同的概率为高考资源网(ks5u.com),中国最大的高考网站,您身边的高考专家。

8.【2012高考江苏6】(5分)现有10个数,它们能构成一个以1为首项,高考资源网(ks5u.com),中国最大的高考网站,您身边的高考专家。 为公比的等比数列,若从这10个数中随机抽取一个数,则它小于8的概率是  ▲  .

【答案】高考资源网(ks5u.com),中国最大的高考网站,您身边的高考专家。

【考点】等比数列,概率。

【解析】∵以1为首项,高考资源网(ks5u.com),中国最大的高考网站,您身边的高考专家。 为公比的等比数列的10个数为1,-3,9,-27,···其中有5个负数,1个正数1计6个数小于8,

       ∴从这10个数中随机抽取一个数,它小于8的概率是高考资源网(ks5u.com),中国最大的高考网站,您身边的高考专家。

三、解答题

9.【2012高考江苏25】(10分)设高考资源网(ks5u.com),中国最大的高考网站,您身边的高考专家。 为随机变量,从棱长为1的正方体的12条棱中任取两条,当两条棱相交时,高考资源网(ks5u.com),中国最大的高考网站,您身边的高考专家。 ;当两条棱平行时,高考资源网(ks5u.com),中国最大的高考网站,您身边的高考专家。 的值为两条棱之间的距离;当两条棱异面时,高考资源网(ks5u.com),中国最大的高考网站,您身边的高考专家。

  (1)求概率高考资源网(ks5u.com),中国最大的高考网站,您身边的高考专家。

  (2)求高考资源网(ks5u.com),中国最大的高考网站,您身边的高考专家。 的分布列,并求其数学期望高考资源网(ks5u.com),中国最大的高考网站,您身边的高考专家。

【答案】解:(1)若两条棱相交,则交点必为正方体8个顶点中的一个,过任意1个顶点恰有3条棱,

                ∴共有高考资源网(ks5u.com),中国最大的高考网站,您身边的高考专家。 对相交棱。

                ∴ 高考资源网(ks5u.com),中国最大的高考网站,您身边的高考专家。

             (2)若两条棱平行,则它们的距离为1或高考资源网(ks5u.com),中国最大的高考网站,您身边的高考专家。 ,其中距离为高考资源网(ks5u.com),中国最大的高考网站,您身边的高考专家。 的共有6对,

                ∴ 高考资源网(ks5u.com),中国最大的高考网站,您身边的高考专家。高考资源网(ks5u.com),中国最大的高考网站,您身边的高考专家。

                  ∴随机变量高考资源网(ks5u.com),中国最大的高考网站,您身边的高考专家。 的分布列是:

高考资源网(ks5u.com),中国最大的高考网站,您身边的高考专家。

0

1

高考资源网(ks5u.com),中国最大的高考网站,您身边的高考专家。

高考资源网(ks5u.com),中国最大的高考网站,您身边的高考专家。

高考资源网(ks5u.com),中国最大的高考网站,您身边的高考专家。

高考资源网(ks5u.com),中国最大的高考网站,您身边的高考专家。

高考资源网(ks5u.com),中国最大的高考网站,您身边的高考专家。

                ∴其数学期望高考资源网(ks5u.com),中国最大的高考网站,您身边的高考专家。 。    

【考点】概率分布、数学期望等基础知识。

【解析】(1)求出两条棱相交时相交棱的对数,即可由概率公式求得概率高考资源网(ks5u.com),中国最大的高考网站,您身边的高考专家。

        (2)求出两条棱平行且距离为高考资源网(ks5u.com),中国最大的高考网站,您身边的高考专家。 的共有6对,即可求出高考资源网(ks5u.com),中国最大的高考网站,您身边的高考专家。 ,从而求出高考资源网(ks5u.com),中国最大的高考网站,您身边的高考专家。 (两条棱平行且距离为1和两条棱异面),因此得到随机变量高考资源网(ks5u.com),中国最大的高考网站,您身边的高考专家。 的分布列,求出其数学期望。

10.【2012高考新课标文18】(本小题满分12分)

某花店每天以每枝5元的价格从农场购进若干枝玫瑰花,然后以每枝10元的价格出售.如果当天卖不完,剩下的玫瑰花做垃圾处理.

(Ⅰ)若花店一天购进17枝玫瑰花,求当天的利润y(单位:元)关于当天需求量n(单位:枝,n∈N)的函数解析式.

(Ⅱ)花店记录了100天玫瑰花的日需求量(单位:枝),整理得下表:

日需求量n

14

15

16

17

18

19

20

频数

10

20

16

16

15

13

10

(1)假设花店在这100天内每天购进17枝玫瑰花,求这100天的日利润(单位:元)的平均数;

(2)若花店一天购进17枝玫瑰花,以100天记录的各需求量的频率作为各需求量发生的概率,求当天的利润不少于75元的概率.

【答案】

高考资源网(ks5u.com),中国最大的高考网站,您身边的高考专家。

11.【2012高考四川文17】(本小题满分12分)

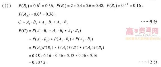
某居民小区有两个相互独立的安全防范系统(简称系统)高考资源网(ks5u.com),中国最大的高考网站,您身边的高考专家。高考资源网(ks5u.com),中国最大的高考网站,您身边的高考专家。 ,系统高考资源网(ks5u.com),中国最大的高考网站,您身边的高考专家。 和系统高考资源网(ks5u.com),中国最大的高考网站,您身边的高考专家。 在任意时刻发生故障的概率分别为高考资源网(ks5u.com),中国最大的高考网站,您身边的高考专家。高考资源网(ks5u.com),中国最大的高考网站,您身边的高考专家。

(Ⅰ)若在任意时刻至少有一个系统不发生故障的概率为高考资源网(ks5u.com),中国最大的高考网站,您身边的高考专家。 ,求高考资源网(ks5u.com),中国最大的高考网站,您身边的高考专家。 的值;

(Ⅱ)求系统高考资源网(ks5u.com),中国最大的高考网站,您身边的高考专家。 在3次相互独立的检测中不发生故障的次数大于发生故障的次数的概率。

命题立意:本题主要考查独立事件的概率公式、随机试验等基础知识,考查实际问题的数学建模能力,数据的分析处理能力和基本运算能力.

【答案】

【解析】

高考资源网(ks5u.com),中国最大的高考网站,您身边的高考专家。

【标题】2012年高考真题——文科数学(四川卷)

12.【2102高考北京文17】(本小题共13分)

近年来,某市为了促进生活垃圾的风分类处理,将生活垃圾分为厨余垃圾、可回收物和其他垃圾三类,并分别设置了相应分垃圾箱,为调查居民生活垃圾分类投放情况,现随机抽取了该市三类垃圾箱中总计1000吨生活垃圾,数据统计如下(单位:吨):

“厨余垃圾”箱

“可回收物”箱

“其他垃圾”箱

厨余垃圾

400

100

100

可回收物

30

240

30

其他垃圾

20

20

60

(Ⅰ)试估计厨余垃圾投放正确的概率;

(Ⅱ)试估计生活垃圾投放错误额概率;

(Ⅲ)假设厨余垃圾在“厨余垃圾”箱、“可回收物”箱、“其他垃圾”箱的投放量分别为高考资源网(ks5u.com),中国最大的高考网站,您身边的高考专家。 其中a>0,高考资源网(ks5u.com),中国最大的高考网站,您身边的高考专家。 =600。当数据高考资源网(ks5u.com),中国最大的高考网站,您身边的高考专家。 的方差高考资源网(ks5u.com),中国最大的高考网站,您身边的高考专家。 最大时,写出高考资源网(ks5u.com),中国最大的高考网站,您身边的高考专家。 的值(结论不要求证明),并求此时高考资源网(ks5u.com),中国最大的高考网站,您身边的高考专家。 的值。

(注:高考资源网(ks5u.com),中国最大的高考网站,您身边的高考专家。 ,其中高考资源网(ks5u.com),中国最大的高考网站,您身边的高考专家。为数据高考资源网(ks5u.com),中国最大的高考网站,您身边的高考专家。 的平均数)

【答案】

高考资源网(ks5u.com),中国最大的高考网站,您身边的高考专家。

13.【2012高考湖南文17】(本小题满分12分)

某超市为了解顾客的购物量及结算时间等信息,安排一名员工随机收集了在该超市购物的100位顾客的相关数据,如下表所示.

一次购物量

1至4件

5至8件

9至12件

13至16件

17件及以上

顾客数(人)

高考资源网(ks5u.com),中国最大的高考网站,您身边的高考专家。

30

25

高考资源网(ks5u.com),中国最大的高考网站,您身边的高考专家。

10

结算时间(分钟/人)

1

1.5

2

2.5

3

已知这100位顾客中的一次购物量超过8件的顾客占55%.

(Ⅰ)确定x,y的值,并估计顾客一次购物的结算时间的平均值;

(Ⅱ)求一位顾客一次购物的结算时间不超过2分钟的概率.(将频率视为概率)

【答案】

【解析】(Ⅰ)由已知得高考资源网(ks5u.com),中国最大的高考网站,您身边的高考专家。 ,该超市所有顾客一次购物的结算时间组成一个总体,所收集的100位顾客一次购物的结算时间可视为一个容量为100的简单随机样本,顾客一次购物的结算时间的平均值可用样本平均数估计,其估计值为:

高考资源网(ks5u.com),中国最大的高考网站,您身边的高考专家。 (分钟).

(Ⅱ)记A为事件“一位顾客一次购物的结算时间不超过2分钟”,高考资源网(ks5u.com),中国最大的高考网站,您身边的高考专家。 分别表示事件“该顾客一次购物的结算时间为1分钟”, “该顾客一次购物的结算时间为高考资源网(ks5u.com),中国最大的高考网站,您身边的高考专家。 分钟”, “该顾客一次购物的结算时间为2分钟”.将频率视为概率,得

高考资源网(ks5u.com),中国最大的高考网站,您身边的高考专家。 .

高考资源网(ks5u.com),中国最大的高考网站,您身边的高考专家。 是互斥事件,

高考资源网(ks5u.com),中国最大的高考网站,您身边的高考专家。 高考资源网(ks5u.com),中国最大的高考网站,您身边的高考专家。 .

故一位顾客一次购物的结算时间不超过2分钟的概率为高考资源网(ks5u.com),中国最大的高考网站,您身边的高考专家。 .

【点评】本题考查概率统计的基础知识,考查运算能力、分析问题能力.第一问中根据统计表和100位顾客中的一次购物量超过8件的顾客占55%,知高考资源网(ks5u.com),中国最大的高考网站,您身边的高考专家。 从而解得高考资源网(ks5u.com),中国最大的高考网站,您身边的高考专家。 ,再用样本估计总体,得出顾客一次购物的结算时间的平均值的估计值;第二问,通过设事件,判断事件之间互斥关系,从而求得

一位顾客一次购物的结算时间不超过2分钟的概率.

14.【2012高考山东文18】(本小题满分12分)

袋中有五张卡片,其中红色卡片三张,标号分别为1,2,3;蓝色卡片两张,标号分别为1,2.

(Ⅰ)从以上五张卡片中任取两张,求这两张卡片颜色不同且标号之和小于4的概率;

(Ⅱ)现袋中再放入一张标号为0的绿色卡片,从这六张卡片中任取两张,求这两张卡片颜色不同且标号之和小于4的概率.

【答案】(18)(I)从五张卡片中任取两张的所有可能情况有如下10种:红12,红13,红11,红12,红23,红21,红22,红31,红32,蓝12.其中两张卡片的颜色不同且标号之和小于4的有3种情况,故所求的概率为高考资源网(ks5u.com),中国最大的高考网站,您身边的高考专家。 .

(II)加入一张标号为0的绿色卡片后,从六张卡片中任取两张,除上面的10种情况外,多出5种情况:红1绿0,红2绿0,红3绿0,蓝1绿0,蓝2绿0,即共有15种情况,其中颜色不同且标号之和小于4的有8种情况,所以概率为高考资源网(ks5u.com),中国最大的高考网站,您身边的高考专家。 .

15.【2012高考全国文20】(本小题满分12分)(注意:在试题卷上作答无效)

乒乓球比赛规则规定:一局比赛,双方比分在高考资源网(ks5u.com),中国最大的高考网站,您身边的高考专家。 平前,一方连续发球高考资源网(ks5u.com),中国最大的高考网站,您身边的高考专家。 次后,对方再连续发球高考资源网(ks5u.com),中国最大的高考网站,您身边的高考专家。 次,依次轮换。每次发球,胜方得高考资源网(ks5u.com),中国最大的高考网站,您身边的高考专家。 分,负方得高考资源网(ks5u.com),中国最大的高考网站,您身边的高考专家。 分。设在甲、乙的比赛中,每次发球,发球方得高考资源网(ks5u.com),中国最大的高考网站,您身边的高考专家。 分的概率为高考资源网(ks5u.com),中国最大的高考网站,您身边的高考专家。 ,各次发球的胜负结果相互独立。甲、乙的一局比赛中,甲先发球。

(Ⅰ)求开始第高考资源网(ks5u.com),中国最大的高考网站,您身边的高考专家。 次发球时,甲、乙的比分为高考资源网(ks5u.com),中国最大的高考网站,您身边的高考专家。高考资源网(ks5u.com),中国最大的高考网站,您身边的高考专家。 的概率;

(Ⅱ)求开始第高考资源网(ks5u.com),中国最大的高考网站,您身边的高考专家。 次发球时,甲得分领先的概率。

 

【答案】

高考资源网(ks5u.com),中国最大的高考网站,您身边的高考专家。高考资源网(ks5u.com),中国最大的高考网站,您身边的高考专家。

16.【2012高考重庆文18】(本小题满分13分,(Ⅰ)小问7分,(Ⅱ)小问6分)

甲、乙两人轮流投篮,每人每次投一球,约定甲先投且先投中者获胜,一直每人都已投球3次时投篮结束,设甲每次投篮投中的概率为高考资源网(ks5u.com),中国最大的高考网站,您身边的高考专家。 ,乙每次投篮投中的概率为高考资源网(ks5u.com),中国最大的高考网站,您身边的高考专家。 ,且各次投篮互不影响。(Ⅰ)求乙获胜的概率;(Ⅱ)求投篮结束时乙只投了2个球的概率。

 

 

高考资源网(ks5u.com),中国最大的高考网站,您身边的高考专家。独立事件同时发生的概率计算公式知高考资源网(ks5u.com),中国最大的高考网站,您身边的高考专家。

高考资源网(ks5u.com),中国最大的高考网站,您身边的高考专家。 高考资源网(ks5u.com),中国最大的高考网站,您身边的高考专家。

17.【2012高考天津文科15】(本小题满分13分)

某地区有小学21所,中学14所,大学7所,现采取分层抽样的方法从这些学校中抽取6所学校对学生进行视力调查。

(I)求应从小学、中学、大学中分别抽取的学校数目。

(II)若从抽取的6所学校中随机抽取2所学校做进一步数据分析,

    (1)列出所有可能的抽取结果;

(2)求抽取的2所学校均为小学的概率。

【答案】

高考资源网(ks5u.com),中国最大的高考网站,您身边的高考专家。高考资源网(ks5u.com),中国最大的高考网站,您身边的高考专家。

18.【2012高考陕西文19】(本小题满分12分)

假设甲乙两种品牌的同类产品在某地区市场上销售量相等,为了解他们的使用寿命,现从两种品牌的产品中分别随机抽取100个进行测试,结果统计如下:

高考资源网(ks5u.com),中国最大的高考网站,您身边的高考专家。

(Ⅰ)估计甲品牌产品寿命小于200小时的概率;

(Ⅱ)这两种品牌产品中,,某个产品已使用了200小时,试估计该产品是甲品牌的概率。

【答案】

高考资源网(ks5u.com),中国最大的高考网站,您身边的高考专家。

19.【2012高考江西文18】(本小题满分12分)

如图,从A1(1,0,0),A2(2,0,0),B1(0,1,0,)B2(0,2,0),C1(0,0,1),C2(0,0,2)这6个点中随机选取3个点。

高考资源网(ks5u.com),中国最大的高考网站,您身边的高考专家。

(1)       求这3点与原点O恰好是正三棱锥的四个顶点的概率;

(2)       求这3点与原点O共面的概率。

 高考资源网(ks5u.com),中国最大的高考网站,您身边的高考专家。

2012年高考真题汇编——文科数学(解析版)10:概率(www.ks5u.com 2012高考).doc