首页
>
教学教研
>
高考学考之窗
2014年全国高考一模数学试题答案(理科)(新课标1卷)
来源:绥宁一中校园网 作者:杨长伟 更新时间:2014-4-19 阅读:37480次
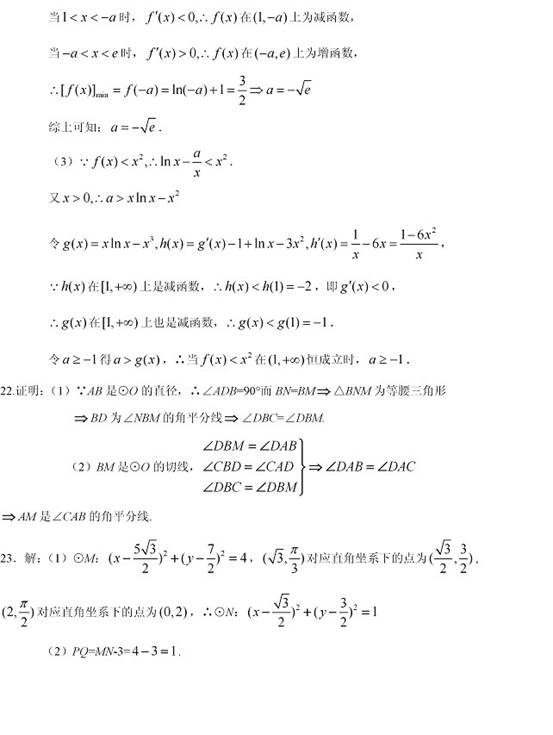
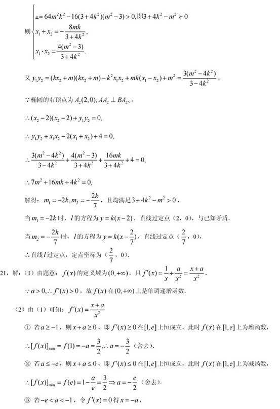
上接:2014年全国高考一模数学试题(理科)(新课标1卷)
关闭
打印
上一篇:
2014年全国高考一模数学试题(文科)(新课标1卷)
下一篇:
2014年全国高考一模数学试题(理科)(新课标1卷)