
2012年高考真题汇编——文科数学(解析版)8:圆锥曲线 来源:绥宁一中校园网 作者:吴树恒 更新时间:2012-6-25 阅读:39430次 |
||
| 专家。 src="http://img.snyzedu.com/images/upphoto/201206/20120619134952852.gif" width=51 height=24> , 即 同理可得 从而 且 由 由
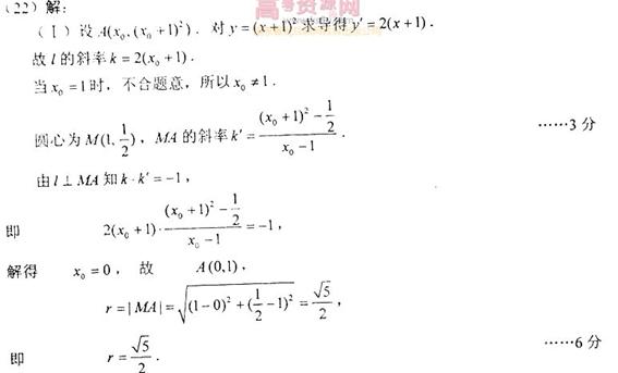
【点评】本题考查曲线与方程、直线与曲线的位置关系,考查运算能力,考查数形结合思想、函数与方程思想等数学思想方法.第一问根据条件设出椭圆方程,求出 31.【2012高考湖北文21】(本小题满分14分) 设A是单位圆x2+y2=1上任意一点,l是过点A与x轴垂直的直线,D是直线l与x轴的交点,点M在直线l上,且满足 (1)求曲线C的方程,判断曲线C为何种圆锥曲线,并求其焦点坐标。 (2)过原点斜率为K的直线交曲线C于P,Q两点,其中P在第一象限,且它在y轴上的射影为点N,直线QN交曲线C于另一点H,是否存在m,使得对任意的K>0,都有PQ⊥PH?若存在,求m的值;若不存在,请说明理由。 21. 【答案】
【解析】本题考查椭圆的标准方程,直线与圆锥曲线的位置关系;考查分类讨论的数学思想以及运算求解的能力.本题是一个椭圆模型,求解标准方程时注意对焦点的位置分类讨论,不要漏解;对于探讨性问题一直是高考考查的热点,一般先假设结论成立,再逆推所需要求解的条件,对运算求解能力和逻辑推理能力有较高的要求. 32.【2012高考全国文22】(本小题满分12分)(注意:在试题卷上作答无效) 已知抛物线 (Ⅰ)求 (Ⅱ)设
【答案】
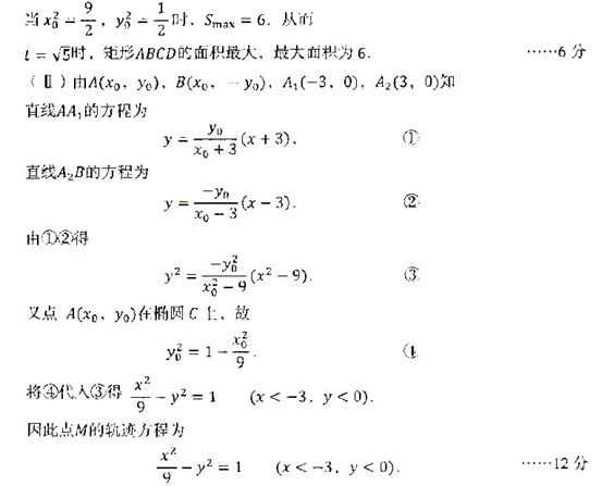
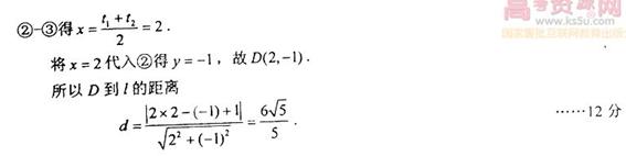
33.【2012高考辽宁文20】(本小题满分12分) 如图,动圆 与椭圆 (Ⅰ)当t为何值时,矩形ABCD的面积取得最大值?并求出其最大面积; (Ⅱ)求直线AA1与直线A2B交点M的轨迹方程。 【答案】 【解析】本题主要考查直线、圆、椭圆的方程,椭圆的几何性质,轨迹方程的求法,考查函数方程思想、转化思想、数形结合思想、运算求解能力和推理论证能力,难度较大。 34.【2012高考江西文20】(本小题满分13分) 已知三点O(0,0),A(-2,1),B(2,1),曲线C上任意一点M(x,y)满足 (1)求曲线C的方程; (2)点Q(x0,y0)(-2 【答案】 【解析】 35.【2012高考四川文21】(本小题满分12分) 如图,动点 (Ⅰ)求轨迹 (Ⅱ)设直线 【答案】 【解析】 36.【2012高考重庆文21】本小题满分12分,(Ⅰ)小问5分,(Ⅱ)小问7分) 【答案】(Ⅰ) 37.【2012高考陕西文20】(本小题满分13分) 已知椭圆 (1)求椭圆 (2)设O为坐标原点,点A,B分别在椭圆 【答案】 |
||