
2012年高考真题汇编——文科数学(解析版)15:推理与证明 来源:绥宁一中校园网 作者:吴树恒 更新时间:2012-6-25 阅读:41508次 |
||||||||
2012高考试题分类汇编:15:推理和证明 1.【2012高考全国文12】正方形 (A)
【答案】B 【解析】结合已知中的点E,F的位置,进行作图 2.【2012高考上海文18】若 A、16 B、72 C、86 D、100 【答案】C 【解析】由题意可知, 3.【2012高考江西文5】观察下列事实|x|+|y|=1的不同整数解(x,y)的个数为4 , |x|+|y|=2的不同整数解(x,y)的个数为8, |x|+|y|=3的不同整数解(x,y)的个数为12 ….则|x|+|y|=20的不同整数解(x,y)的个数为 A.76 B.80 C.86 D.92 【答案】B
【解析】个数为首项为4,公差为4的等差数列,所以 4.【2012高考陕西文12】观察下列不等式
…… 照此规律,第五个不等式为 . 【答案】
【解析】通过观察易知第五个不等式为 5.【2012高考湖南文16】对于 (1)b2+b4+b6+b8=__; (2)记cm为数列{bn}中第m个为0的项与第m+1个为0的项之间的项数,则cm的最大值是___. 【答案】(1)3;(2)2. 【解析】(1)观察知 一次类推
b2+b4+b6+b8=3;(2)由(1)知cm的最大值为2. 【点评】本题考查在新环境下的创新意识,考查运算能力,考查创造性解决问题的能力. 需要在学习中培养自己动脑的习惯,才可顺利解决此类问题. 6.【2012高考湖北文17】传说古希腊毕达哥拉斯学派的数学家经常在沙滩上面画点或用小石子表示数。他们研究过如图所示的三角形数:
将三角形数1,3, 6,10,…记为数列{an},将可被5整除的三角形数按从小到大的顺序组成一个新数列{bn},可以推测: (Ⅰ)b2012是数列{an}中的第______项; (Ⅱ)b2k-1=______。(用k表示) 【答案】(Ⅰ)5030;(Ⅱ) 【解析】由以上规律可知三角形数1,3,6,10,…,的一个通项公式为 从而由上述规律可猜想:
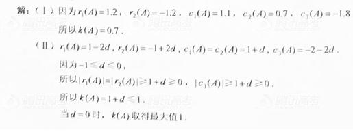
故 【点评】本题考查归纳推理,猜想的能力.归纳推理题型重在猜想,不一定要证明,但猜想需要有一定的经验与能力,不能凭空猜想.来年需注意类比推理以及创新性问题的考查. 7.【2102高考北京文20】(本小题共13分) 设A是如下形式的2行3列的数表,
满足性质P:a,b,c,d,e,f∈[-1,1],且a+b+c+d+e+f=0. 记ri(A)为A的第i行各数之和(i=1,2),Cj(A)为第j列各数之和(j=1,2,3);记k(A)为|r1(A)|, |r2(A)|, |c1(A)|,|c2(A)|,|c3(A)|中的最小值。 对如下数表A,求k(A)的值
设数表A形如
其中-1≤d≤0,求k(A)的最大值; (Ⅲ)对所有满足性质P的2行3列的数表A ,求k(A)的最大值。 【答案】
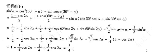
8.【2102高考福建文20】20. (本小题满分13分) 某同学在一次研究性学习中发现,以下五个式子的值都等于同一个常数。 (1)sin213°+cos217°-sin13°cos17° (2)sin215°+cos215°-sin15°cos15° (3)sin218°+cos212°-sin18°cos12° (4)sin2(-18°)+cos248°- sin2(-18°)cos248° (5)sin2(-25°)+cos255°- sin2(-25°)cos255° Ⅰ 试从上述五个式子中选择一个,求出这个常数 Ⅱ 根据(Ⅰ)的计算结果,将该同学的发现推广位三角恒等式,并证明你的结论。 【答案】 |
||||||||