您身边的高考专家。 src="http://img.snyzedu.com/images/upphoto/201206/20120619124435158.gif" width=84 height=20> , , 的图象不间断,
∴ 在(一1,1 )内有唯一实根。
因此,当 时, 有两个不同的根 满足 ;当 时
有三个不同的根 ,满足 。
现考虑函数 的零点:
( i )当 时, 有两个根 ,满足 。
而 有三个不同的根, 有两个不同的根,故 有5 个零点。
( 11 )当 时, 有三个不同的根 ,满足 。
而 有三个不同的根,故 有9 个零点。
综上所述,当 时,函数 有5 个零点;当 时,函数 有9 个零点。
【考点】函数的概念和性质,导数的应用。
【解析】(1)求出 的导数,根据1和 是函数 的两个极值点代入列方程组求解即可。
(2)由(1)得, ,求出 ,令 ,求解讨论即可。
(3)比较复杂,先分 和 讨论关于 的方程 根的情况;再考虑函数 的零点。
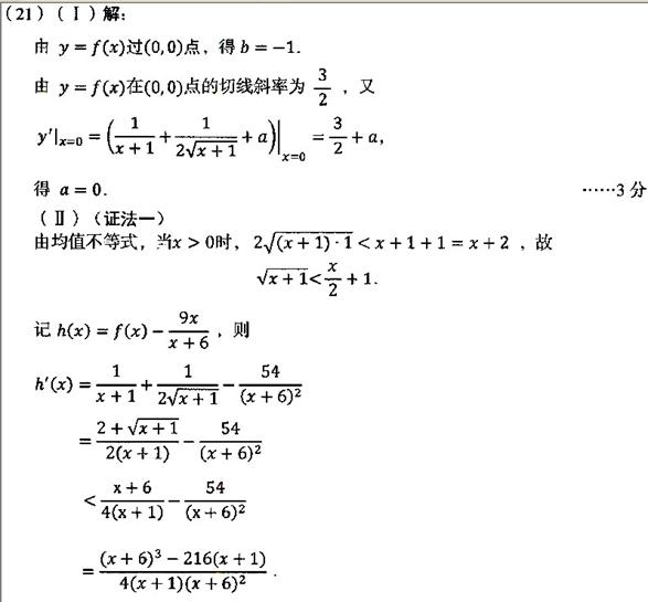
21.【2012高考真题辽宁理21】本小题满分12分)
设 ,曲线 与
直线 在(0,0)点相切。
(Ⅰ)求 的值。
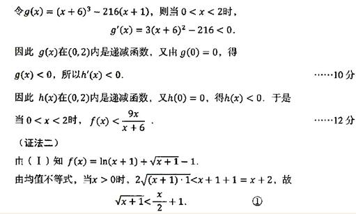
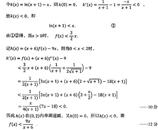
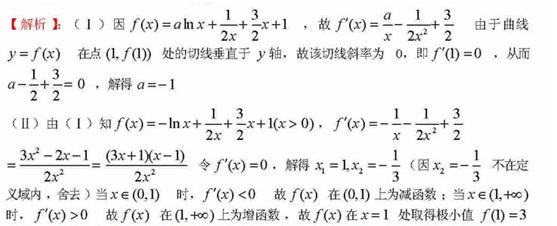
(Ⅱ)证明:当 时, 。
【答案】



【点评】本题综合考查导数的概念、几何意义、导数在判断函数单调性与最值中的运用。本题容易忽略函数 的定义域,根据条件曲线 与直线 在(0,0)点相切,求出 的值,然后,利用函数的单调性或者均值不等式证明 即可。从近几年的高考命题趋势看,此类型题目几乎年年都有涉及,因此,在平时要加强训练。本题属于中档题。
22.【2012高考真题重庆理16】(本小题满分13分,(Ⅰ)小问6分,(Ⅱ)小问7分.)
设 其中 ,曲线 在点 处的切线垂直于 轴.
(Ⅰ)求 的值;
(Ⅱ)求函数 的极值.
【答案】

23.【2012高考真题浙江理22】(本小题满分14分)已知a>0,b R,函数 .
(Ⅰ)证明:当0≤x≤1时,
(ⅰ)函数 的最大值为|2a-b|﹢a;
(ⅱ) +|2a-b|﹢a≥0;
(Ⅱ) 若﹣1≤ ≤1对x [0,1]恒成立,求a+b的取值范围.
【命题立意】本题主要考查不等式、利用导数研究函数的单调性等性质、线性规划等知识点综合运用能力,同时考查抽象概括、推理论证能力。
【答案】本题主要考察不等式,导数,单调性,
(Ⅰ)(ⅰ) .
当b≤0时, >0在0≤x≤1上恒成立,
此时 的最大值为: =|2a-b|﹢a;
当b>0时, 在0≤x≤1上的正负性不能判断,
此时 的最大值为:
=|2a-b|﹢a;
综上所述:函数 在0≤x≤1上的最大值为|2a-b|﹢a;
(ⅱ) 要证 +|2a-b|﹢a≥0,即证 =﹣ ≤|2a-b|﹢a.
亦即证 在0≤x≤1上的最大值小于(或等于)|2a-b|﹢a,
∵ ,
∴令 .
当b≤0时, <0在0≤x≤1上恒成立,
此时 的最大值为: =|2a-b|﹢a;
当b<0时, 在0≤x≤1上的正负性不能判断,
≤|2a-b|﹢a;
综上所述:函数 在0≤x≤1上的最大值小于(或等于)|2a-b|﹢a.
即 +|2a-b|﹢a≥0在0≤x≤1上恒成立.
(Ⅱ)由(Ⅰ)知:函数 在0≤x≤1上的最大值为|2a-b|﹢a,
且函数 在0≤x≤1上的最小值比﹣(|2a-b|﹢a)要大.
∵﹣1≤ ≤1对x [0,1]恒成立,
∴|2a-b|﹢a≤1.
取b为纵轴,a为横轴.
则可行域为: 和 ,目标函数为z=a+b.
作图如下:
由图易得:当目标函数为z=a+b过P(1,2)时,有 .
∴所求a+b的取值范围为: .

24.【2012高考真题山东理22】(本小题满分13分)
已知函数 ( 为常数, 是自然对数的底数),曲线 在点 处的切线与 轴平行.
(Ⅰ)求 的值;
(Ⅱ)求 的单调区间;
(Ⅲ)设 ,其中 为 的导函数.证明:对任意 .
【答案】
 
25.【2012高考真题湖南理22】(本小题满分13分)
已知函数 = ,其中a≠0.
(1) 若对一切x∈R, ≥1恒成立,求a的取值集合.
(2)在函数 的图像上取定两点 , ,记直线AB的斜率为K,问:是否存在x0∈(x1,x2),使 成立?若存在,求 的取值范围;若不存在,请说明理由.
【答案】(Ⅰ)若 ,则对一切 , ,这与题设矛盾,又 ,
故 .
而 令
当 时, 单调递减;当 时, 单调递增,故当 时, 取最小值
于是对一切 恒成立,当且仅当
. ①
令 则
当 时, 单调递增;当 时, 单调递减.
故当 时, 取最大值 .因此,当且仅当 即 时,①式成立.
综上所述, 的取值集合为 .
(Ⅱ)由题意知,
令 则
令 ,则 .
当 时, 单调递减;当 时, 单调递增.
故当 , 即
从而 , 又
所以
因为函数 在区间 上的图像是连续不断的一条曲线,所以存在 使 单调递增,故这样的 是唯一的,且 .故当且仅当 时, .
综上所述,存在 使 成立.且 的取值范围为
.
【点评】本题考查利用导函数研究函数单调性、最值、不等式恒成立问题等,考查运算能力,考查分类讨论思想、函数与方程思想,转化与划归思想等数学思想方法.第一问利用导函数法求出 取最小值 对一切x∈R,f(x) 1恒成立转化为 ,从而得出a的取值集合;第二问在假设存在的情况下进行推理,通过构造函数,研究这个函数的单调性及最值来进行分析判断.
2012年高考真题汇编——理科数学:3:导数(www.ks5u.com 2012高考).doc
|