
2012年高考真题汇编——理科数学:10:圆锥曲线2 来源:绥宁一中校园网 作者:吴树恒 更新时间:2012-6-25 阅读:43058次 |
||
| s5u.com),中国最大的高考网站,您身边的高考专家。 src="http://img.snyzedu.com/images/upphoto/201206/20120619125959496.gif" width=504 height=600>
27.【2012高考真题新课标理20】(本小题满分12分) 设抛物线
(1)若 (2)若 求坐标原点到 【答案】(1)由对称性知: 点 圆 (2)由对称性设 点 得: 直线 坐标原点到 28.【2012高考真题福建理19】如图,椭圆E:
(Ⅰ)求椭圆E的方程. (Ⅱ)设动直线l:y=kx+m与椭圆E有且只有一个公共点P,且与直线x=4相较于点Q.试探究:在坐标平面内是否存在定点M,使得以PQ为直径的圆恒过点M?若存在,求出点M的坐标;若不存在,说明理由. 【答案】本题主要考查椭圆的简单几何性质、圆的性质、直线与圆锥曲线的位置关系、平面向量的应用等基础知识,考查推理论证能力、基本运算能力,以及函数与方程的思想、数形结合思想、化归与转化思想.
29.【2012高考真题上海理22】(4+6+6=16分)在平面直角坐标系 (1)过 (2)设斜率为1的直线 (3)设椭圆 【答案】
过点A与渐近线
设
【点评】本题主要考查双曲线的概念、标准方程、几何性质及其直线与双曲线的关系、椭圆的标准方程和圆的有关性质.特别要注意直线与双曲线的关系问题,在双曲线当中,最特殊的为等轴双曲线,它的离心率为 30.【2012高考真题陕西理19】本小题满分12分) 已知椭圆 (1)求椭圆 (2)设O为坐标原点,点A,B分别在椭圆 【答案】
31.【2012高考真题山东理21】(本小题满分13分) 在平面直角坐标系 (Ⅰ)求抛物线 (Ⅱ)是否存在点 (Ⅲ)若点 【答案】
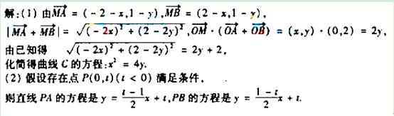
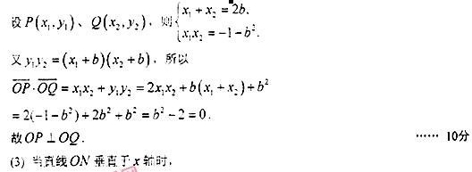
32.【2012高考真题江西理21】 (本题满分13分) 已知三点O(0,0),A(-2,1),B(2,1),曲线C上任意一点M(x,y)满足 (1) 求曲线C的方程; (2) 动点Q(x0,y0)(-2<x0<2)在曲线C上,曲线C在点Q处的切线为l向:是否存在定点P(0,t)(t<0),使得l与PA,PB都不相交,交点分别为D,E,且△QAB与△PDE的面积之比是常数?若存在,求t的值。若不存在,说明理由。 【答案】
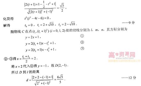
【点评】本题以平面向量为载体,考查抛物线的方程,直线与抛物线的位置关系以及分类讨论的数学思想. 高考中,解析几何解答题一般有三大方向的考查.一、考查椭圆的标准方程,离心率等基本性质,直线与椭圆的位置关系引申出的相关弦长问题,定点,定值,探讨性问题等;二、考查抛物线的标准方程,准线等基本性质,直线与抛物线的位置关系引申出的相关弦长问题,中点坐标公式,定点,定值,探讨性问题等;三、椭圆,双曲线,抛物线综合起来考查.一般椭圆与抛物线结合考查的可能性较大,因为它们都是考纲要求理解的内容. 33.【2012高考真题全国卷理21】(本小题满分12分)(注意:在试卷上作答无效) 已知抛物线C:y=(x+1)2与圆M:(x-1)2+( (Ⅰ)求r; (Ⅱ)设m、n是异于l且与C及M都相切的两条直线,m、n的交点为D,求D到l的距离. 【答案】
34.【2012高考真题天津理19】(本小题满分14分) 设椭圆 (Ⅰ)若直线AP与BP的斜率之积为 (Ⅱ)若|AP|=|OA|,证明直线OP的斜率k满足 【答案】
35.【2012高考真题湖南理21】(本小题满分13分)[www.z%zstep.co*~&m^] 在直角坐标系xOy中,曲线C1的点均在C2:(x-5)2+y2=9外,且对C1上任意一点M,M到直线x=﹣2的距离等于该点与圆C2上点的距离的最小值. (Ⅰ)求曲线C1的方程; (Ⅱ)设P(x0,y0)(y0≠±3)为圆C2外一点,过P作圆C2的两条切线,分别与曲线C1相交于点A,B和C,D.证明:当P在直线x=﹣4上运动时,四点A,B,C,D的纵坐标之积为定值. 【答案】(Ⅰ)解法1 :设M的坐标为
易知圆
化简得曲线 解法2 :由题设知,曲线 (Ⅱ)当点P在直线
整理得
设过P所作的两条切线
由 设四点A,B,C,D的纵坐标分别为
同理可得
于是由②,④,⑤三式得
所以,当P在直线 【解析】 【点评】本题考查曲线与方程、直线与曲线的位置关系,考查运算能力,考查数形结合思想、函数与方程思想等数学思想方法.第一问用直接法或定义法求出曲线的方程;第二问设出切线方程,把直线与曲线方程联立,由一元二次方程根与系数的关系得到 |
||