
2012年高考真题汇编——文科数学(解析版)4:三角函数 来源:绥宁一中校园网 作者:吴树恒 更新时间:2012-6-25 阅读:40326次 |
||
| 的高考网站,您身边的高考专家。 src="http://img.snyzedu.com/images/upphoto/201206/20120619132953790.gif" width=28 height=17> 的长。
【答案】 【解析】
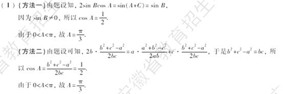
28.【2012高考山东文17】(本小题满分12分) 在△ABC中,内角 (Ⅰ)求证: (Ⅱ)若 【答案】 (I)由已知得:
再由正弦定理可得: 所以 (II)若 ∴
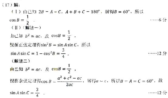
∴△ 29.【2012高考湖南文18】(本小题满分12分) 已知函数 (Ⅰ)求函数f(x)的解析式; (Ⅱ)求函数
【答案】 【解析】(Ⅰ)由题设图像知,周期 因为点 又 又点 (Ⅱ)
由
【点评】本题主要考查三角函数的图像和性质.第一问结合图形求得周期 .30【2012高考四川文18】(本小题满分12分) 已知函数 (Ⅰ)求函数 (Ⅱ)若 命题立意:本题主要考查三角函数的性质、两角和的正余弦公式、二倍角公式等基础知识,考查基本运算能力以及化归与转化的数学思想.
【解析】
31.【2012高考广东文16】(本小题满分12分) 已知函数 (1)求 (2)设 【答案】(1) (2)
因为 所以 32.【2012高考辽宁文17】(本小题满分12分) 在 (Ⅰ)求 (Ⅱ)边a,b,c成等比数列,求 【答案】
【解析】本题主要考查三角形的正弦定理、余弦定理、三角形内角和定理及等差、等比数列的定义,考查转化思想和运算求解能力,属于容易题。第二小题既可以利用正弦定理把边的关系转化为角的关系,也可以利用余弦定理得到边之间的关系,再来求最后的结果。 33.【2012高考重庆文19】(本小题满分12分,(Ⅰ)小问5分,(Ⅱ)小问7分)设函数
【答案】(Ⅰ) 【解析】
故 34.【2012高考新课标文17】(本小题满分12分) 已知a,b,c分别为△ABC三个内角A,B,C的对边,c = eq \r(3)asinC-ccosA (1) 求A (2) 若a=2,△ABC的面积为 eq \r(3),求b,c 【答案】
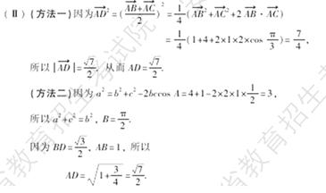
35.【2102高考北京文15】(本小题共13分) 已知函数 (1)求 (2)求 【答案】
(1)原函数的定义域为 (2)原函数的单调递增区间为 36.【2012高考陕西文17】(本小题满分12分) 函数 (1)求函数 (2)设 【答案】
37.【2012高考江苏15】(14分)在 (1)求证: (2)若 【答案】解:(1)∵ 由正弦定理,得 又∵ (2)∵ ∴ 由 (1) ,得 ∵ 【考点】平面微量的数量积,三角函数的基本关系式,两角和的正切公式,解三角形。 【解析】(1)先将 (2)由 38.【2012高考天津文科16】(本小题满分13分) 在 (I)求sinC和b的值; (II)求cos(2A+ 【答案】
39.【2012高考湖北文18】(本小题满分12分) 设函数f(x)= 1.求函数f(x)的最小正周期; 2.若y=f(x)的图像经过点 【答案】
【解析】本题考查三角函数的最小正周期,三角恒等变形;考查转化与划归,运算求解的能力.二倍角公式,辅助角公式在三角恒等变形中应用广泛,它在三角恒等变形中占有重要的地位,可谓是百考不厌. 求三角函数的最小正周期,一般运用公式 40.【2012高考全国文17】(本小题满分10分) (注意:在试题卷上作答无效)
【答案】
|
||