
2012年高考真题汇编——文科数学(解析版)5:数列 来源:绥宁一中校园网 作者:吴树恒 更新时间:2012-6-25 阅读:39636次 |
||
| 高考资源网(ks5u.com),中国最大的高考网站,您身边的高考专家。 src="http://img.snyzedu.com/images/upphoto/201206/20120619133400761.gif" width=240 height=41> 因 解得 23.【2012高考陕西文16】已知等比数列 (1)若 (Ⅱ)证明:对任意 【答案】
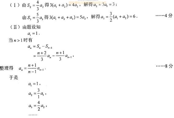
24.【2012高考湖北文20】(本小题满分13分) 已知等差数列{an}前三项的和为-3,前三项的积为8. (1) 求等差数列{an}的通项公式; (2)若a2,a3,a1成等比数列,求数列错误!不能通过编辑域代码创建对象。的前n项和。 20. 【答案】
【解析】本题考查等差数列的通项,求和,分段函数的应用等;考查分类讨论的数学思想以及运算求解的能力.求等差数列的通项一般利用通项公式 25.【2012高考天津文科18】 (本题满分13分) 已知{ QUOTE (I)求数列{ QUOTE (II)记 QUOTE 【答案】
26.【2012高考山东文20】 (本小题满分12分) 已知等差数列 (Ⅰ)求数列 (Ⅱ)对任意 【答案】 (I)由已知得: 解得 所以通项公式为 (II)由 即 ∵ ∴ ∴ 27.【2012高考全国文18】(本小题满分12分) (注意:在试题卷上作答无效) 已知数列 (Ⅰ)求 (Ⅱ)求 【答案】
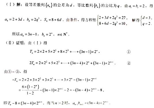
28.【2012高考安徽文21】(本小题满分13分) 设函数 (Ⅰ)求数列 (Ⅱ)设 【答案】 【解析】( = 1 \* ROMAN I)
得:当 得: ( = 2 \* ROMAN II)由( = 1 \* ROMAN I)得:
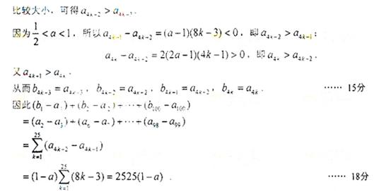
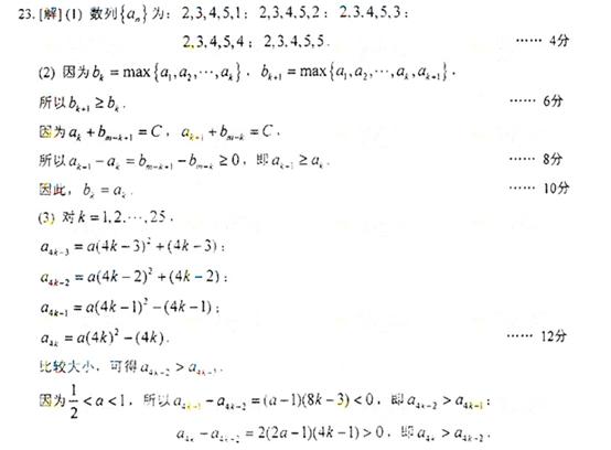
当 当 当 得: 当 当 当 【2012高考上海文23】(本题满分18分)本题共有3个小题,第1小题满分4分,第2小题满分6分,第3小题满分8分 对于项数为 (1)若各项均为正整数的数列 (2)设 (3)设 【答案】 【2012高考广东文19】(本小题满分14分) 设数列 (1)求 (2)求数列 【答案】 【解析】(1)当 因为 (2)当 所以 所以 ② 所以 求得 所以 所以 所以 【2102高考福建文17】(本小题满分12分) 在等差数列{an}和等比数列{bn}中,a1=b1=1,b4=8,{an}的前10项和S10=55. (Ⅰ)求an和bn; (Ⅱ)现分别从{an}和{bn}的前3项中各随机抽取一项,写出相应的基本事件,并求这两项的值相等的概率。 【答案】
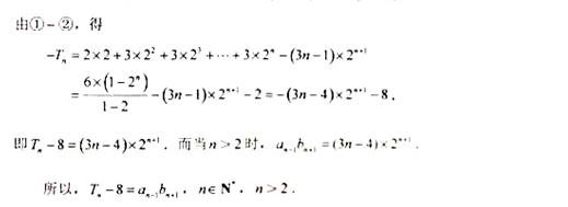
【2012高考江西文17】(本小题满分12分) 已知数列|an|的前n项和 (1)求an; (2)求数列{nan}的前n项和Tn。 【答案】 【解析】(1)当 则
当n=1时, 综上所述 (2)
|
||