
2012年高考真题汇编——理科数学:4:数列 来源:绥宁一中校园网 作者:吴树恒 更新时间:2012-6-25 阅读:40608次 |
||
| 网站,您身边的高考专家。 src="http://img.snyzedu.com/images/upphoto/201206/20120619124626710.gif" width=13 height=15> 为自然数,抛物线 (Ⅰ)用 (Ⅱ)求对所有 (Ⅲ)当 【答案】本题主要考查导数的应用、不等式、数列等基础知识,考查基本运算能力、逻辑推理能力、分析问题与解决问题的能力和创新意识,考查函数与方程、数形结合、分类讨论、化归与转化由特殊到一般等数学思想
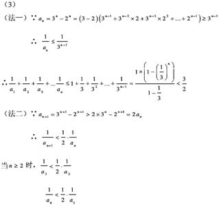
27.【2012高考真题广东理19】(本小题满分14分) 设数列{an}的前n项和为Sn,满足 (4) 求a1的值; (5) 求数列{an}的通项公式. (6) 证明:对一切正整数n,有 【答案】本题考查由数列的递推公式求通项公式,不等式证明问题,考查了学生的运算求解能力与推理论证能力,难度一般.
28.【2012高考真题上海理23】(4+6+8=18分)对于数集 (1)若 (2)若 (3)若 【答案】
【点评】本题主要考查数集、集合的基本性质、元素与集合的关系等基础知识,本题属于信息给予题,通过定义“ 29.【2012高考真题重庆理21】(本小题满分12分,(I)小问5分,(II)小问7分.) 设数列 (I)求证: (II)若 【答案】
30.【2012高考真题江西理17】(本小题满分12分) 已知数列{an}的前n项和 (1)确定常数k,求an; (2)求数列 【答案】 【点评】本题考查数列的通项,递推、错位相减法求和以及二次函数的最值的综合应用.利用 31.【2012高考真题安徽理21】(本小题满分13分) 数列 ( = 1 \* ROMAN I)证明:数列 ( = 2 \* ROMAN II)求 【答案】本题考查数列的概念及其性质,不等式及其性质,充要条件的意义,数列与函数的关系等基础知识,考查综合运用知识分析问题的能力,推理论证和运算求解能力。 【解析】( = 1 \* ROMAN I)必要条件 当 充分条件 数列 得:数列 ( = 2 \* ROMAN II)由( = 1 \* ROMAN I)得: = 1 \* GB3 ①当 = 2 \* GB3 ②当
当 由
当 得:当 32.【2012高考真题天津理18】(本小题满分13分) 已知
(Ⅰ)求数列 (Ⅱ)记 【答案】
33.【2012高考真题湖南理19】(本小题满分12分) 已知数列{an}的各项均为正数,记A(n)=a1+a2+……+an,B(n)=a2+a3+……+an+1,C(n)=a3+a4+……+an+2,n=1,2,…… (1) 若a1=1,a2=5,且对任意n∈N﹡,三个数A(n),B(n),C(n)组成等差数列,求数列{ an }的通项公式. (2) 证明:数列{ an }是公比为q的等比数列的充分必要条件是:对任意 【答案】解(1)对任意 即 故数列 (Ⅱ)(1)必要性:若数列
即 (2)充分性:若对于任意 则 于是 由 因为 综上所述,数列 【解析】 【点评】本题考查等差数列、等比数列的定义、性质及充要条件的证明.第一问由等差数列定义可得;第二问要从充分性、必要性两方面来证明,利用等比数列的定义及性质易得证. 34.【2012高考真题山东理20】本小题满分12分) 在等差数列 (Ⅰ)求数列 (Ⅱ)对任意 【答案】
35.【2012高考真题全国卷理22】(本小题满分12分)(注意:在试卷上作答无效) 函数f(x)=x2-2x-3,定义数列{xn}如下:x1=2,xn+1是过两点P(4,5)、Qn(xn,f(xn))的直线PQn与x轴交点的横坐标. (Ⅰ)证明:2 (Ⅱ)求数列{xn}的通项公式. 【答案】
|
||